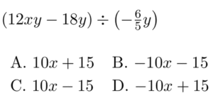
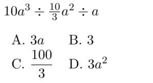
数学020 「中1 中2 式の値 代入」 2026 1/16 Math 数学 2025-11-122026-01-16 授業で配布しているプリントです。左右対称になっていて、左側の手書きの解説を写すだけでも勉強になります。 数学020「中1 中2 式の値 代入」ダウンロード 以下は授業中に実施しているオンライン小テストです。トモコラボの生徒さんでなくても、ぜひチャレンジしてみてください。 読み込んでいます… Math 数学 数学019 「中3 単項式と多項式の乗法・除法の乗法・除法 」 数学022「中3 多項式と多項式の乗法」 この記事を書いた人 MatsuoNobuya 代表 トモコラボ 代表 神戸市在住 3児の父 20代は民間企業で、30歳から教師に 趣味は低山ハイキング、水泳、美術館に訪れること 関連記事 数学023「中3 展開の公式①」 2026-02-05 数学022「中3 多項式と多項式の乗法」 2025-12-07 数学019 「中3 単項式と多項式の乗法・除法の乗法・除法 」 2025-10-22 数学018 「中2 単項式の乗法・除法 乗法と除法の混じった計算」 2025-10-12